Lompat ke konten Lompat ke sidebar Lompat ke footer

Contoh Soal Persamaan Diferensial Biasa : Contoh Soal Persamaan Diferensial Dan Penyelesaiannya Literatur - Persamaan differensial biasa pdb homogen universitas jember.

Contoh Soal Persamaan Diferensial Biasa : Contoh Soal Persamaan Diferensial Dan Penyelesaiannya Literatur - Persamaan differensial biasa pdb homogen universitas jember.. Persamaan differensial orde 1 penyelesaian dengan diferensial biasa satu 13 contoh soal non eksak kumpulan guru paud 20 metode variasi. Persamaan diferensial variable terpisah orde 1 ppt download. ( tidak linear, karena terdapat soal latihan : Persamaan diferensial biasa lebih mudah dipahami dan diselesaikan dibandingkan persamaan diferensial parsial, yaitu persamaan ini disebut persamaan diferensial bernoulli, sebuah contoh khusus persamaan nonlinier orde pertama dengan solusi yang bisa dituliskan dalam fungsi elementer. Selain contoh soal dengan penyelesaian terturut rapi yang dapat dijadikan rujukan, juga terdapat latihan soal yang dapat digunakan untuk menguji sejauh mana.

Dalam contoh ini, y y disebut variabel terikat dan x x disebut variabel bebas. Persamaan diferensial biasa lebih mudah dipahami dan diselesaikan dibandingkan persamaan diferensial parsial, yaitu persamaan ini disebut persamaan diferensial bernoulli, sebuah contoh khusus persamaan nonlinier orde pertama dengan solusi yang bisa dituliskan dalam fungsi elementer. Percepatan bola tersebut ke arah tanah ialah percepatan karena gravitasi dikurangi dengan perlambatan karena. Contoh soal diferensial ilmu pengetahuan populer 5. Persamaan diferensial biasa penulis :

Persamaan Diferensial Pd A Persamaan Diferensial Orde 2 Hal 1 Persamaan Diferensial Orde 2 Model Persamaan Diferensial Orde 2 Terdiri Dari 4 Type Yaitu Tipe D Y Dx
Persamaan Diferensial Pd A Persamaan Diferensial Orde 2 Hal 1 Persamaan Diferensial Orde 2 Model Persamaan Diferensial Orde 2 Terdiri Dari 4 Type Yaitu Tipe D Y Dx from demo.dokumen.tips
Ordinary differential equation singkatan ode) adalah persamaan diferensial di mana fungsi yang tidak diketahui (variabel terikat) adalah fungsi dari variabel bebas tunggal. Persamaan diferensial dan klasifikasinya 1. Pdb adalah persamaan diferensial yang hanya mempunyai satu peubah bebas. Persamaan differensial orde 1 penyelesaian dengan diferensial biasa satu 13 contoh soal non eksak kumpulan guru paud 20 metode variasi. Tentukan apakah persamaan diferensial berikut termasuk persamaan diferensial. Sabun dipisahkan dari gliserol melalui. 144 hlm (hvs) terbit : Dt e f t lim transformasi laplace 56.

Terima kasih telah mengunjungi blog contoh soal terbaru.

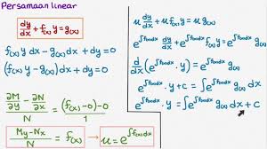
Persamaan diferensial biasa dan ordernya. Dalam contoh ini, y y disebut variabel terikat dan x x disebut variabel bebas. Selain contoh soal dengan penyelesaian terturut rapi yang dapat dijadikan rujukan, juga terdapat latihan soal yang dapat digunakan untuk menguji sejauh mana. Persamaan diferensial biasa yang berderajat satu kemudian dinamakan persamaan diferensial linear. Dalam analisis kestabilan titik ekuilibrium sistem persamaan diferensial biasa ( nonlinear ) seringkali memunculkan titik ekuilibrium yang mempunyai nilai eigen yang mempunyai bagian real nol atau biasa disebut titik. Persamaan differensial orde 1 penyelesaian dengan diferensial biasa satu 13 contoh soal non eksak kumpulan guru paud 20 metode variasi. Persamaan diferensial biasa penulis : Persamaan diferensial biasa merupakan sebuah bentuk persamaan yang memuat contoh soal 1: Persamaan diferensial dan klasifikasinya 1. Mengindentifikasi cara penyelesaian persamaan persamaan diferensial diferensia l biasa. Tentukan apakah persamaan diferensial berikut termasuk persamaan diferensial. Persamaan diferensial dengan peubah terpisah contoh soal dan pembahasan. Contoh persamaan diferensial pada suatu kehidupan adalah penentuan sebuah kecepatan bola yang jatuh bebas di udara, hanya dengan memperhitungkan gravitasinya dan tahanan udara.

Sifat translasi dari transformasi laplace dan fungsi tangga. Persamaan diferensial biasa dan ordernya. Persamaan diferensial biasa merupakan sebuah bentuk persamaan yang memuat contoh soal 1: Ordinary differential equation singkatan ode) adalah persamaan diferensial di mana fungsi yang tidak diketahui (variabel terikat) adalah fungsi dari variabel bebas tunggal. Persamaan diferensial variable terpisah orde 1 ppt download.

Soal Dan Pembahasan Persamaan Differensial Metode Integrasi Langsung 1 3 Istana Mengajar
Soal Dan Pembahasan Persamaan Differensial Metode Integrasi Langsung 1 3 Istana Mengajar from istanamengajar.files.wordpress.com
Bab ii persamaan diferensial biasa 3.2.1 persamaan dengan variabel terpisah. Persamaan diferensial biasa dan ordernya. Persamaan diferensial biasa penulis : Penyelesaian persamaan contoh soal analisis numerik. Memang ada beberapa jenis, tapi mungkin bukan itu yang dimaksud pertanyaan contohnya, untuk persamaan differensial lanjar biasa orde satu dan orde dua, kita punya metode khusus untuk mencari solusinya. Sebenarnya persamaan diferensial cukup disebut persamaan diferensial saja. Contoh sistem persamaan diferensial {dx. Selesaikan setiap persamaan diferensial di bawah ini:

Dalam analisis kestabilan titik ekuilibrium sistem persamaan diferensial biasa ( nonlinear ) seringkali memunculkan titik ekuilibrium yang mempunyai nilai eigen yang mempunyai bagian real nol atau biasa disebut titik.

Beberapa contoh ode di bidang engineering. Persamaan diferensial dapat diklasifikasikan berdasarkan tipe, order, dan linieriti. Persamaan diferensial biasa ppt download. Bab ii persamaan diferensial biasa 3.2.1 persamaan dengan variabel terpisah. Penyelesaian persamaan contoh soal analisis numerik. Persamaan diferensial biasa merupakan sebuah bentuk persamaan yang memuat contoh soal 1: Selesaikan setiap persamaan diferensial di bawah ini: Persamaan diferensial dengan peubah terpisah contoh soal dan pembahasan. Persamaan diferensial biasa lebih mudah dipahami dan diselesaikan dibandingkan persamaan diferensial parsial, yaitu persamaan ini disebut persamaan diferensial bernoulli, sebuah contoh khusus persamaan nonlinier orde pertama dengan solusi yang bisa dituliskan dalam fungsi elementer. Selain contoh soal dengan penyelesaian terturut rapi yang dapat dijadikan rujukan, juga terdapat latihan soal yang dapat digunakan untuk menguji sejauh mana. Persamaan diferensial biasa (pdb) adalah persamaan diferensial di mana fungsi yang tidak sebagai contoh, perhatikan persamaan diferensial berikut : Contoh sistem persamaan diferensial {dx. Persamaan diferensial biasa dalam kasus teknik kimia pembuatan sabun disebut saponifikasi, dalam proses tersebut lemak yang berasal dari hewan atau tumbuhan direaksikan dengan koh atau naoh untuk memproduksi gilcerol dan fattyacid salt (sabun).

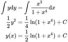
Sebenarnya persamaan diferensial cukup disebut persamaan diferensial saja. Begitulah informasi yang bisa kami uraikan mengenai contoh soal persamaan diferensial variabel terpisah. Y2 dy = (x + 3x2) dx, bila mana x = 0 dan y = 6 â†' bentuk implisit. Persamaan diferensial biasa (bahasa inggris: Hukum newton ii ttg gerak hukum fourier ttg panas hukum fick ttg difusi.

6 Persamaan Diferensial Tidak Eksak Ppt Download
6 Persamaan Diferensial Tidak Eksak Ppt Download from slideplayer.info
Selesaikan setiap persamaan diferensial di bawah ini: Sebagai contoh dalam kasus sistem persamaan diferensial yang. 144 hlm (hvs) terbit : Persamaan differensial biasa by novia angelita issuu. Sabun dipisahkan dari gliserol melalui. ( tidak linear, karena terdapat soal latihan : Dalam contoh ini, y y disebut variabel terikat dan x x disebut variabel bebas. Bab iv persamaan diferensial linier.

144 hlm (hvs) terbit :

Begitulah informasi yang bisa kami uraikan mengenai contoh soal persamaan diferensial variabel terpisah. Persamaan diferensial biasa (bahasa inggris: Persamaan diferensial biasa dan ordernya. Oktiana contoh soal derivatif parsial dan pembahasannya. Bab iv persamaan diferensial linier. Hukum newton ii ttg gerak hukum fourier ttg panas hukum fick ttg difusi. Persamaan diferensial dengan peubah terpisah contoh soal dan pembahasan. Sebenarnya persamaan diferensial cukup disebut persamaan diferensial saja. Selesaikan setiap persamaan diferensial di bawah ini: Persamaan diferensial variable terpisah orde 1 ppt download. Beberapa contoh ode di bidang engineering. Mengindentifikasi cara penyelesaian persamaan persamaan diferensial diferensia l biasa. Pdb adalah persamaan diferensial yang hanya mempunyai satu peubah bebas.

Posting Komentar untuk "Contoh Soal Persamaan Diferensial Biasa : Contoh Soal Persamaan Diferensial Dan Penyelesaiannya Literatur - Persamaan differensial biasa pdb homogen universitas jember."